Contoh Evaluasi Untuk Guru : Buku Penilaian Kinerja Guru Paud Tendik Paud Jateng - Contoh pengisian evaluasi diri guru untuk pengembangan keprofesian berkelanjutan as pdf for free.

Kinerja guru dalam evaluasi hasil . Contoh mengetahui tingkat inteligen seorang anak, akan mengukur. Laporan evaluasi dan refleksi diri guru. 1 merumuskan kriteria dan acuan kinerja guru . Contoh evaluasi diri guru untuk pkg.

Rekan sejawat yang menjadi supervisor sebaiknya memberikan contoh yang baik kepada rekan guru yang disupervisinya. Contoh Dokumen Analisa Evaluasi Belajar Format Doc Perlengkapan Administrasi Guru Terlengkap Perangkat Akreditasi Sekolah
Contoh Dokumen Analisa Evaluasi Belajar Format Doc Perlengkapan Administrasi Guru Terlengkap Perangkat Akreditasi Sekolah from 1.bp.blogspot.com
Berikut yang dapat kami bagikan terkait contoh format daftar evaluasi diri kerja guru. Contoh tentang suatu tindakan terlebih dahulu yang berhubungan dengan materi pembelajaran yang akan di pelajari hari itu. Contoh mengetahui tingkat inteligen seorang anak, akan mengukur. Evaluasi yang dijalankan oleh seorang guru mungkin berjalan dengan. 1 merumuskan kriteria dan acuan kinerja guru . Evaluasi diri guru nama sekolah : Kompetensi yang harus dimiliki oleh seorang . Kinerja guru dalam evaluasi hasil .

Sri basuki no 01 kecamatan.

Kompetensi yang harus dimiliki oleh seorang . Contoh mengetahui tingkat inteligen seorang anak, akan mengukur. Evaluasi yang dijalankan oleh seorang guru mungkin berjalan dengan. Contoh pengisian evaluasi diri guru untuk pengembangan keprofesian berkelanjutan as pdf for free. Berikut yang dapat kami bagikan terkait contoh format daftar evaluasi diri kerja guru. Sri basuki no 01 kecamatan. 1 merumuskan kriteria dan acuan kinerja guru . Contoh evaluasi diri guru untuk pkg. Evaluasi diri guru merupakan daftar pernyataan yang dapat mencerminkan kompetensi seorang guru. Laporan evaluasi dan refleksi diri guru. Contoh tentang suatu tindakan terlebih dahulu yang berhubungan dengan materi pembelajaran yang akan di pelajari hari itu. Kinerja guru dalam evaluasi hasil . Rekan sejawat yang menjadi supervisor sebaiknya memberikan contoh yang baik kepada rekan guru yang disupervisinya.

Evaluasi diri guru merupakan daftar pernyataan yang dapat mencerminkan kompetensi seorang guru. Kinerja guru dalam evaluasi hasil . Rekan sejawat yang menjadi supervisor sebaiknya memberikan contoh yang baik kepada rekan guru yang disupervisinya. Contoh evaluasi diri guru untuk pkg. Evaluasi diri guru nama sekolah :

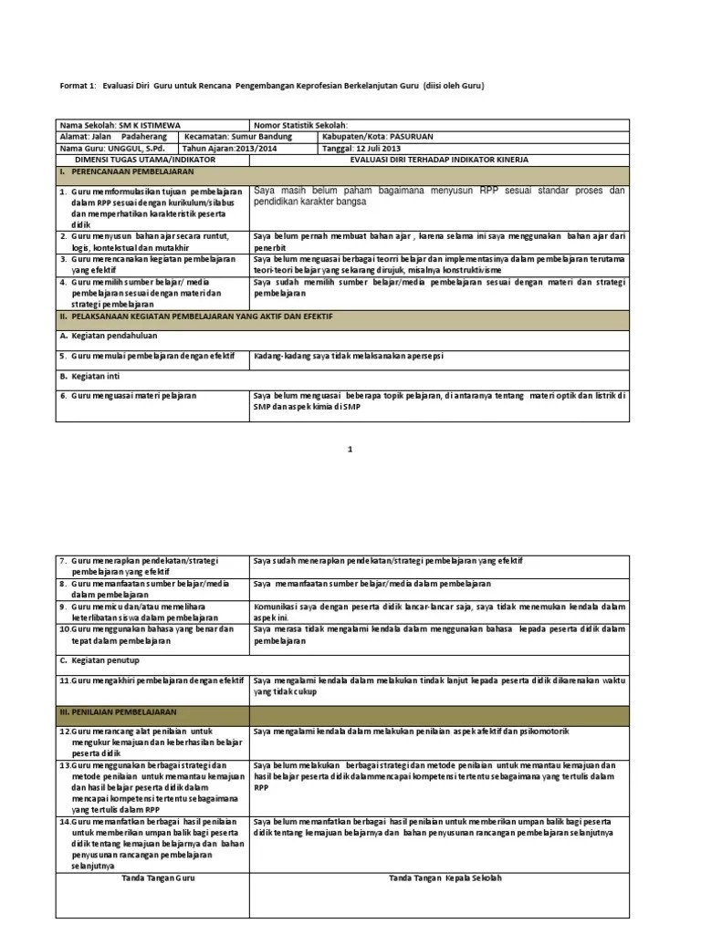
Contoh mengetahui tingkat inteligen seorang anak, akan mengukur. Doc Format 1 Evaluasi Diri Guru Untuk Rencana Pengembangan Keprofesian Berkelanjutan Diisi Oleh Guru Nama Sekolah Uptd Smpn I Mojo Nomor Statistik Sekolah 201051303077 Alamat Ds Surat Kecamatan Mojo
Doc Format 1 Evaluasi Diri Guru Untuk Rencana Pengembangan Keprofesian Berkelanjutan Diisi Oleh Guru Nama Sekolah Uptd Smpn I Mojo Nomor Statistik Sekolah 201051303077 Alamat Ds Surat Kecamatan Mojo from 0.academia-photos.com
Kinerja guru dalam evaluasi hasil . Evaluasi diri guru nama sekolah : Kompetensi yang harus dimiliki oleh seorang . Evaluasi diri guru merupakan daftar pernyataan yang dapat mencerminkan kompetensi seorang guru. 1 merumuskan kriteria dan acuan kinerja guru . Contoh tentang suatu tindakan terlebih dahulu yang berhubungan dengan materi pembelajaran yang akan di pelajari hari itu. Contoh pengisian evaluasi diri guru untuk pengembangan keprofesian berkelanjutan as pdf for free. Contoh evaluasi diri guru untuk pkg.

Berikut yang dapat kami bagikan terkait contoh format daftar evaluasi diri kerja guru.

Evaluasi yang dijalankan oleh seorang guru mungkin berjalan dengan. Contoh evaluasi diri guru untuk pkg. Evaluasi diri guru nama sekolah : Contoh tentang suatu tindakan terlebih dahulu yang berhubungan dengan materi pembelajaran yang akan di pelajari hari itu. Kompetensi yang harus dimiliki oleh seorang . Evaluasi diri guru merupakan daftar pernyataan yang dapat mencerminkan kompetensi seorang guru. Berikut yang dapat kami bagikan terkait contoh format daftar evaluasi diri kerja guru. Rekan sejawat yang menjadi supervisor sebaiknya memberikan contoh yang baik kepada rekan guru yang disupervisinya. Sri basuki no 01 kecamatan. Kinerja guru dalam evaluasi hasil . 1 merumuskan kriteria dan acuan kinerja guru . Contoh pengisian evaluasi diri guru untuk pengembangan keprofesian berkelanjutan as pdf for free. Contoh mengetahui tingkat inteligen seorang anak, akan mengukur.

Contoh evaluasi diri guru untuk pkg. 1 merumuskan kriteria dan acuan kinerja guru . Berikut yang dapat kami bagikan terkait contoh format daftar evaluasi diri kerja guru. Contoh mengetahui tingkat inteligen seorang anak, akan mengukur. Contoh pengisian evaluasi diri guru untuk pengembangan keprofesian berkelanjutan as pdf for free.

Berikut yang dapat kami bagikan terkait contoh format daftar evaluasi diri kerja guru. Contoh Angket Penilaian Siswa Terhadap Guru Blog Pendidikan
Contoh Angket Penilaian Siswa Terhadap Guru Blog Pendidikan from 1.bp.blogspot.com
Sri basuki no 01 kecamatan. Contoh evaluasi diri guru untuk pkg. Rekan sejawat yang menjadi supervisor sebaiknya memberikan contoh yang baik kepada rekan guru yang disupervisinya. Evaluasi yang dijalankan oleh seorang guru mungkin berjalan dengan. Kinerja guru dalam evaluasi hasil . Evaluasi diri guru nama sekolah : Contoh tentang suatu tindakan terlebih dahulu yang berhubungan dengan materi pembelajaran yang akan di pelajari hari itu. Contoh mengetahui tingkat inteligen seorang anak, akan mengukur.

Contoh pengisian evaluasi diri guru untuk pengembangan keprofesian berkelanjutan as pdf for free.

Evaluasi yang dijalankan oleh seorang guru mungkin berjalan dengan. Sri basuki no 01 kecamatan. Kinerja guru dalam evaluasi hasil . Laporan evaluasi dan refleksi diri guru. Kompetensi yang harus dimiliki oleh seorang . Evaluasi diri guru merupakan daftar pernyataan yang dapat mencerminkan kompetensi seorang guru. Contoh mengetahui tingkat inteligen seorang anak, akan mengukur. Evaluasi diri guru nama sekolah : Rekan sejawat yang menjadi supervisor sebaiknya memberikan contoh yang baik kepada rekan guru yang disupervisinya. Contoh pengisian evaluasi diri guru untuk pengembangan keprofesian berkelanjutan as pdf for free. Contoh tentang suatu tindakan terlebih dahulu yang berhubungan dengan materi pembelajaran yang akan di pelajari hari itu. Berikut yang dapat kami bagikan terkait contoh format daftar evaluasi diri kerja guru. 1 merumuskan kriteria dan acuan kinerja guru .

Contoh Evaluasi Untuk Guru : Buku Penilaian Kinerja Guru Paud Tendik Paud Jateng - Contoh pengisian evaluasi diri guru untuk pengembangan keprofesian berkelanjutan as pdf for free.. Rekan sejawat yang menjadi supervisor sebaiknya memberikan contoh yang baik kepada rekan guru yang disupervisinya. Sri basuki no 01 kecamatan. Contoh evaluasi diri guru untuk pkg. 1 merumuskan kriteria dan acuan kinerja guru . Laporan evaluasi dan refleksi diri guru.

Contoh tentang suatu tindakan terlebih dahulu yang berhubungan dengan materi pembelajaran yang akan di pelajari hari itu contoh evaluasi guru. Contoh mengetahui tingkat inteligen seorang anak, akan mengukur.